Buscar
Búsqueda avanzada

  • Home
  • Negociaciones
    • África
    • América
    • Asia y el Pacífico
    • Europa
  • Cuestiones claves
    • Agricultura y alimentación
    • Clima y medio ambiente
    • Intereses corporativos
    • Geopolítica y derechos humanos
    • Propiedad intelectual
    • Inversión
    • Trabajo
    • Servicios
  • Textos de los acuerdos
    • TBI
    • TLCs
    • TIFA
    • Otro
  • Acerca
    • Acerca de bilaterals.org
    • Ayuda
    • Como participar
    • Comunicados
bilaterals.org logo
bilaterals.org logo
bilaterals.org logo
bilaterals.org logo
Búsqueda avanzada
  •  
  • Negociaciones
    • África
    • América
    • Asia y el Pacífico
    • Europa
  • Cuestiones claves
    • Agricultura y alimentación
    • Clima y medio ambiente
    • Intereses corporativos
    • Geopolítica y derechos humanos
    • Propiedad intelectual
    • Inversión
    • Trabajo
    • Servicios
  • Textos de los acuerdos
    • TBI
    • TLCs
    • TIFA
    • Otro
  • Acerca
    • Acerca de bilaterals.org
    • Ayuda
    • Como participar
    • Comunicados
  • FRANÇAIS
  • ESPAÑOL
  • ENGLISH
  • Publicar
  1. Textos de los acuerdos
  2. TLCs
  3. TLCs mega-regionales

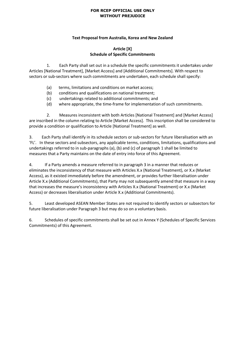
RCEP - trade in services chapter: proposal for a ratchet (August 2015)

25 July 2016

RCEP - trade in services chapter: proposal for a ratchet (August 2015)

1 page proposal by Australia, Korea & New Zealand as of 4 August 2015.

Services Ratchet proposal as of 4Aug2015 (3.68 MB)

  TLCs (textos) fugas RCEP servicios
Suscríbase a nuestro correo semanal

Últimos artículos en inglés

ECVC warns that the EU-Australia trade agreement threatens European food sovereignty

24-Mar-2026  European Coordination Via Campesina

Trump’s EU envoy urges swift approval of trade deal

24-Mar-2026  Politico

Farmers protest India-US trade deal in Kurukshetra

24-Mar-2026  Hindustan Times

Derniers articles en français

L'Australie et l'Union européenne renforcent leur coopération en signant un accord commercial

24-Mar-2026  France 24

L'accord commercial entre l'UE et le Mercosur entrera en vigueur à titre provisoire à compter du 1er mai

24-Mar-2026  Euractiv

L’accord de libre-échange entre New Delhi et Bruxelles, une menace pour les travailleurs indiens

23-Mar-2026  Alternatives Economiques

Otros idiomas
Por qué son nocivos los tratados de libre comercio
  • Acerca de
  • Archivos
  • Contacto
  • Temas clave
  • Enlaces
  • Negociaciones
  • Textos de acuerdos
  • Volver arriba

bilaterals.org logo

bilaterals.org es un espacio colaborativo para compartir información y apoyar a los movimientos que luchan contra los acuerdos bilaterales de comercio e inversión que sirven a las corporaciones, no a la gente. Es estrictamente no comercial y con fines educativos únicamente. Nadie lo posee. Publicación abierta. Multilingüe. Global.